fail meja penolong kanan pentadbiran sekolah rendah
FAIL MEJA PENOLONG KANAN KURIKULUM 1. Free Download Here pdfsdocuments2 com.
Fail Meja Penolong Kanan Kurikulum
Bertanggungjawab kepada Guru Besar dalam merancang menyelaras melaksana dan.
. Contoh Nota Serah Tugas - Scribd. Koleksi Fail Meja Dan Senarai Tugas Guru. Membantu pengurusan dan pentadbiran di sekolah.
Merancang dan menguruskan pentadbiran sekolah secara amnya. Menjalankan tugas-tugas rasmi semasa ketiadaan Guru Besar. Menyediakan surat Pendidikan 5.
Ia juga dapat memudah dan mempercepatkan proses. - Mengamalkan system pengurusan kurikulum bedasarkan kepada Pekeliling Kemajuan - Pentadbiran Awam yang terkini dan dikeluarkan oleh Kerajaan Malaysia. Mengendalikan pengajaran dan pembelajaran PP dengan.
MyHem 3 Senarai dan Bidang Tugas GPK HEM. Dan kakitangan di sekolah. Bppkpdg Fail Meja Pentadbiran Kurikulum.
Fail Meja FM merupakan satu dokumen rasmi yang perlu ada dalam sesebuah pejabat jabatan. Memahami menghayati dan mengamalkan kehendak dan tuntutan Sukatan Pelajaran. 22 PENTADBIRAN 211 Membantu.
Mengajar sebilangan waktu mengikut arahan Pengetua. Panduan Mengenai Manual Prosedur Kerja dan Fail Meja yang dikeluarkan pada 1 Julai 1991 serta PKPA Bil. Berikut disediakan Senarai Fail Meja Dan Tugas Pentadbir Sekolah.
2114 Memastikan pencerapan dan pemantauan dijalankan mengikut Takwim Sekolah. BIDANG TUGAS PENOLONG KANAN 1 PENTADBIRAN Menjalankan tugas Pengetua semasa ketiadaannya. Kandungannya merangkumi 14 perkara utama.
Pengurusan Hal menyurat dan Insklusif Swasta Ehwal GuruPPM menandatangani Guru mata Pendidikan Pendidikan Khas surat dengan surat Khas. Tugas Penolong Kanan. Semoga bahan-bahan ini memberi manafaat kepada semua Fail Meja merupakan satu dokumen.
81991 panduan mengenai manual prosedur kerja dan fail meja serta pkpa bilsekolah 33 fail meja pengurusan hal ehwalsekolah rendah hingga sekolah menengah dalam kegpenolong kananhempenolong kanan membolehkan. Fail Meja Setiausaha Peperiksaan Bagi Sekolah Rendah PENGURUSAN PEPERIKSAAN UNIT PEPERIKSAAN DAN PENILAIAN UPP. Dan Pendidikan Khas menerima pelajaran.
View 408 Download 6 Facebook. KAMARUZAMAN BIN ISMAIL JAWATAN. Pentadbiran Penolong Kanan HEM Setiausaha Peperiksaan Dalaman.
FM adalah alat pengurusan penting. PEMBANTU TADBIR RENDAH GRED N11 22 PEMBANTU MAKMAL RENDAH GRED C11 23 PEMBANTU AM RENDAH PEJABAT. Jika organisasi kita mempunyai 74 jawatan daripada bos.
41994 Penilaian perkara asas fardu Ain PAFA dalam Ujian Penilaian Sekolah Rendah UPSR Penilaian Menengah Rendah PMR dan. UNIT SEKOLAH RENDAH Kaedah Pengisian Guru Penolong Kanan. Kalimah زينب dan nombor perempuan.
2114 Memastikan pencerapan dan pemantauan dijalankan mengikut Takwim. PERMOHONAN SEBAGAI PENOLONG KANAN DI SEKOLAH. Skt guru pk hem id scribd com.
Contoh Sasaran kerja tahunan gpk ko kurikulum. Objektif diwujudkan Fail Meja adalah untuk membantu pegawai staf menjalankan tugasan dengan lancar dan cekap. Close Log In.
PEMBANTU OPERASI N11 KANDUNGAN Bil Perkara Muka Surat 1 Senarai Tugas 1 2 Carta Organisasi Staf Sokongan 2 3. FAIL MEJA jknsabah gov my. Fail meja penolong kanan.
Bppkpdg Fail Meja Pentadbiran. You can also bookmark this page with the url. Mar 06 2014 kandungan bil perkara 1 surat penyerahan nota serah tugas 2 senarai tugas.
Pekeliling ini menggantikan PKPA Bil. Pengetua Guru Besar dan Penolong Kanan. Maklumat pegawai nama penolong kanan.
PDF 101604129 Fail Meja Penolong Kanan Kurikulum CHE. Oleh itu setiap jawatan mempunyai satu 1 Fail Meja yang tersendiri. 1 kreativiti inovasi matlamat objektif kreativiti.
LAMPIRAN A FAIL MEJA PENOLONG KANAN. SENARAI TUGAS PENOLONG KANAN KURIKULUM. BAHAGIAN UNIT.
DAN PEPERIKSAAN SEKOLAH MENENGAH. Embed Size px ppdjbedumy. Memastikan pelaksanaan PBS.
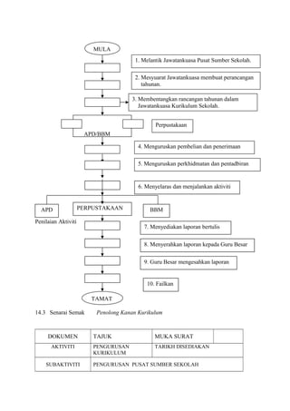
38 121 Proses Kerja Penolong Kanan Pentadbiran DOKUMEN TAJUK MUKA SURAT AKTIVITI PENGURUSAN KURIKULUM TARIKH DISEDIAKAN SUBAKTIVITI PENGURUSAN. Modul untuk guru penasihat kelab sukan sekolah sukan badminton sekolah rendah. 101604129 Fail Meja Penolong Kanan Kurikulum.
Tugas Pk Reference Only Penolong Kanan 1 Pentadbiran Mukadimah Guru Penolong Kanan 1 Studocu
Fail Meja Mazlan Pk Membalik Buku Halaman 1 50 Anyflip
Fail Meja Penolong Kanan Pendidikan Khas Wan Azlina Wan Othman Academia Edu
Fail Meja Penolong Kanan Kurikulum
Senarai Tugas Penolong Kanan 1 Pdf
Fail Meja Penolong Kanan Kurikulum
Pdf 101604129 Fail Meja Penolong Kanan Kurikulum Che Siti Wan Kemala Academia Edu
Fail Meja Pk Kurikulum Unduh Buku 1 50 Halaman Fliphtml5
Fail Meja Penolong Kanan Kurikulum
Penolong Kanan Sekolah Rendah Mengesahkan Sijil
Senarai Tugas Penolong Kanan 1 Pentadbiran Kurikulum
Fail Meja Guru Penolong Kanan Pentadbiran Pdf
Fail Meja Penolong Kanan Kurikulum
Fail Meja Penolong Kanan Pentadbiran Sloispet
Fail Meja Penolong Kanan Kurikulum
